第四章 向量代数与空间解析几何
第一节 向量及向量代数
定义1:
\(\begin{align}
&(1)向量:\vec{a}=x\vec{i}+y\vec{j}+z\vec{k}=\{x,y,z\}\\
&(2)向量的模: |\vec{a}|=\sqrt{x^2+y^2+z^2}\\
&(3)单位向量: |\vec a|=1,\vec a=(\frac{x}{\sqrt{x^2+y^2+z^2}},\frac{y}{\sqrt{x^2+y^2+z^2}},\frac{z}{\sqrt{x^2+y^2+z^2}})=(\cos \alpha,\cos\beta,\cos \gamma)\\
&(4)向量\vec{a}的方向余弦(方向数):
方向角\alpha,\beta,\gamma\in[0,\pi]\\
&\vec{a}=(\cos \alpha,\cos\beta,\cos \gamma)\\
\end{align}\)

定理1:
\[\begin{align} &设A(a_1,a_2,a_3),B(b_1,b_2,b_3)\in R^3,则\vec{AB}=\{b_1,b_2,b_3\}-\{a_1,a_2,a_3\}=\{b_1-a_1,b_2-a_2,b_3-a_3\}\\ \end{align}\]定义2
\(\begin{align}
&(1)线性运算:\vec{a}+\vec{b},\vec{a}-\vec{b}\\
&\lambda\vec{a}=\begin{cases}&|\lambda\vec a|\vec a,\lambda0,即与\vec a同向\\&\vec{0},\lambda=0,即为零向量\\&-|\lambda\vec a|\vec a,\lambda<0,即与\vec a反向\\\end{cases}
\end{align}\)
\(\begin{align}
&(2)数积(内积,点积):数积\vec{a}\cdot\vec{b}是一个数\\
&\vec{a}\cdot\vec{b}=|\vec a||\vec b|\cos \theta\\
&注解:判定垂直\\
&(3)矢积(外积,叉积):矢积\vec{a}*\vec{b}是一个向量,满足:\\
&[1]|\vec a*\vec b|=|\vec{a}||\vec{b}|\sin \theta\\
&[2]\vec a*\vec b\perp\vec{a}和\vec{b},\vec{a},\vec{b}和\vec a*\vec b的方向满足右手法则\\
&注解:\\
&1)判断平行\\
&2)|\vec{a}*\vec{b}|的几何意义:\\
\end{align}\)
\(\begin{align}
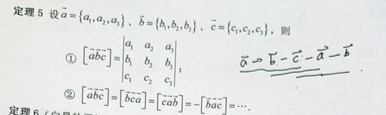
&(4)混合积:[\vec a\vec b \vec c]\overset{\Delta}{=}(\vec a *\vec b)\cdot \vec c=\vec c\cdot(\vec a *\vec b)=(\vec b *\vec c)\cdot \vec a\\
&注解:[\vec a\vec b \vec c]的几何意义是体积\\
\end{align}\)

定理 2
\[\begin{align} &设\vec{a}=\{a_1,a_2,a_3\},\vec{b}=\{b_1,b_2,b_3\}\\ &则\lambda\vec{a}+\mu\vec{b}=\{\lambda a_1+\mu b_1,\lambda a_2+\mu b_2,\lambda a_3+\mu b_3\}\\ \end{align}\]定理 3

定理 4

定理 5

定理 6

例题
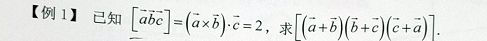
\(\begin{align}
&解:\\
&(a,b,c)表示a,b,c的混合积,即(a,b,c)=(aXb)..c .且(aXb)..c=(bXc)..a=(cXa)..b\\
&混合积几何意义为三向量空间围成的体积\\
&AXB方向尊崇右手定则 值为ABsin A..B=ABcos\\
&因为 (a+b)X(b+c)=aXb+aXc+bXb+bXc
=aXb+aXc+bXc\\
&所以 (a+b)X(b+c)..(c+a)=(aXb+aXc+bXc)..(c+a)=(a,b,c)+(a,b,a)+(a,c,c)+(a,c,a)+(b,c,c)+(b,c,a).\\
&因为 (aXb) 垂直于a\\
&所以 (a,b,a)=(aXb)*a=0,\\
&同理,(a,c,c)=(a,c,a)=(b,c,c)=0.\\
&又因为 (a,b,c)=2,\\
&所以 (b,c,a)=(a,b,c)=2.\\
&所以 (a+b)x(b+c)..(c+a) =4.
\end{align}\)
第二节 平面与直线
平面
点法式方程
\(\begin{align}
&\vec{p_0p}\cdot\vec{n}=0\\
&\Leftrightarrow a(x-x_0)+b(y-y_0)+c(z-z_0)=0\\
&\vec{n}={a,b,c}\neq0为法向量,P_0(x_0,y_0,z_0)为平面上的一点\\
\end{align}\)
一般式方程
\[\begin{align} &ax+by+cz+d=0,\vec{n}=\{a,b,c\}\neq0为法向量\\ \end{align}\]注解:

截距式方程
\(\begin{align}
&\frac{x}{a}+\frac{y}{b}+\frac{z}{c}=1\\
&a,b,c为平面在三个坐标轴上的截距\\
&注解:截距式方程只能表示和三个坐标轴都相交的平面
\end{align}\)
点到面的距离
\(\begin{align}
&点P_0(x_0,y_0,z_0)到平面ax+by+cz+d=0的距离\\
&\rho=\frac{|ax_0+by_0+cz_0+d|}{\sqrt{a^2+b^2+c^2}}
\end{align}\)
两平面夹角(法向量夹角)
\(\begin{align}
&cos\theta=\frac{\vec{n_1}\cdot\vec{n_2}}{|\vec{n_1}||\vec{n_2}|}\\
\end{align}\)
平面与平面的位置关系

直线
标准式方程(点向式)
\[\begin{align} &\vec{p}//\vec{p_0p}\\ &\frac{x-x_0}{l}=\frac{y-y_0}{m}=\frac{z-z_0}{n}\\ &其中P_0(x_0,y_0,z_0)为直线上一点,\vec{L}=\{l,m,n\}\neq0为直线的方向向量 \end{align}\]
一般式方程

参数式方程

点到直线的距离

两直线夹角

直线与直线的位置

直线与平面的位置关系
