不定积分、定积分与反常积分
不定积分
一、不定积分概念
1.定义
\[\begin{align} &原函数:设对于区间I上的任意一点x均有F'(x)=f(x),则称F(x)为f(x)在区间I上的一个原函数\\ &不定积分:设函数f(x)于区间I上有原函数,则其余原函数的全体称为f(x)于区间I上的不定积分,记为\int{f(x)dx}\\ &线性:\int[\alpha f(x)+\beta g(x)]dx=\alpha\int f(x)dx+\beta\int g(x)dx\\ \end{align}\]2.计算
\[\begin{align} &计算方法\begin{cases}&1.基本公式\\&2.线性\\&3.积分法\begin{cases}&1.换元法\\&2.分部积分法\\\end{cases}\\\end{cases}\\ \end{align}\](1)第一换元法(凑微分)
\[\begin{align} &设F'(u)=f(u),则\int{f(\Phi(x))\Phi'(x)}dx=\int{f(\Phi(x))d(\Phi(x))}=F(\Phi(x))+C\\ &注解:找到合适的凑微分\Phi'(x)dx=d(\Phi(x)) \end{align}\]常见凑微分: \(\begin{align} &1.\int{f(ax+b)dx=\frac{1}{a}\int{f(ax+b)d(ax+b)}}(a\neq0)\\ &eg1.\int{\sin (2x+3)}dx=\frac{1}{2}\int\sin (2x+3)d(2x+3)=\frac{1}{2}\cos{(2x+3)}+C\\\ &2.\int{f(ax^n+b)x^{n-1}dx}=\frac{1}{na}\int{f(ax^n+b)d(ax^n+b)}\\ &eg2.\int{\cos(2x^4+3)x^3dx}=\frac{1}{4*2}\int{\cos(2x^4+3)d(2x^4+3)}=\frac{1}{8}\cos{(2x^4+3)}+C\\ &3.\int{f(a^x+c)a^xdx}=\frac{1}{\ln{a}}\int{f(a^x+c)}d(a^x+c)\\ &eg3.\int{\sin(2^x+3)2^xdx}=\frac{1}{\ln2}\int{\sin{(2^x+3)}d(2^x+3)}=\frac{1}{\ln 2}\cos{(2^x+3)}\\ &4.\int{f(\frac{1}{x})\frac{1}{x^2}}dx=-\int{f(\frac{1}{x})}d(\frac{1}{x})\\ &eg4.\int{\ln(\frac{1}{x})}\frac{1}{x^2}dx=-\int\ln (\frac{1}{x})d({\frac{1}{x}})+C\\ &5.\int{f(\ln |x|})\frac{1}{x}d(x)=\int{f(\ln{|x|)}}{d(\ln|x|)}\\ &eg5.\int{\sin ({\ln{|x|}}})\frac{1}{x}dx=\int{\sin(\ln(|x|)d(\ln{|x|})}=\cos(\ln x)+C\\ &6.\int{f(\sqrt x)\frac{1}{\sqrt x}}dx=2\int{f(\sqrt x)}d(\sqrt x)\\ &7.\int f(\sin x)\cos xdx=-\int{(\sin x)}d(\sin x)\\ &8.\int{f(\cos x)\sin dx}=\int{f(\cos x)d(\cos x)}\\ &9.\int{f(\tan x)\sec^2 xdx}=\int{f(\tan x)d(\tan x)}\\ &10.\int{f(\cot x)\csc^2xdx}=-\int{f(\cot x)d{(\cot x)}}\\ &11.\int{f{(\arcsin x)\frac{1}{\sqrt{1-x^2}}}}dx=\int{f(\arcsin x)d({\arcsin x})}\\ &12.\int{f(\arccos x)(-\frac{1}{\sqrt{1-x^2}}})dx=\int{f(\arccos x)d(\arccos x)}\\ &13.\int{f(\arctan x)\frac{1}{1+x^2}dx}=\int{f(\arctan x)d(\arctan x)}\\ &14.\int{f(\sqrt{x^2+a})}\frac{x}{\sqrt{x^2+a}}dx=\int{f(\sqrt{x^2+a})}d(\sqrt{x^2+a})\\ &注解:(\sqrt{x^2\pm a})'=\frac{x}{\sqrt{x^2+a}},(\sqrt{a^2-x^2})'=\frac{-x}{\sqrt{a^2-x^2}}\\ \end{align}\)
(2)第二换元法
\[\begin{align} &设F'(u)=f(\Phi(u))\Phi'(u),则\\ &\int{f(x)dx}\overset{x=\Phi(u)}{=}\int{f(\Phi(u))\Phi'(u)du}=F(u)+C=F(\Phi^{-1}(x))+C\\ &注解:找到合适的x=\Phi(u)\\ \end{align}\]1)三角换元 \(\begin{align} &x=a\sin u,x=a\tan u,x=a \sec u\\ &\sqrt{a^2-x^2}\overset{x=a\sin u}{=}a\cos u,u\in[-\frac{\pi}{2},\frac{\pi}{2}],x\in[-a,a]\\ &\sqrt{a^2+x^2}\overset{x=a\tan u}{=}a\sec u,u\in{(-\frac{\pi}{2},\frac{\pi}{2})},x\in{(-\infty,\infty)}\\ &\sqrt{x^2-a^2}\overset{x=a\sec u}{=}a\tan u,u\in(\frac{\pi}{2},\pi]\cup(0,\frac{\pi}{2}]\\ \end{align}\) 2)倒变换 \(\begin{align} &x=\frac{1}{u}常用于含\frac{1}{x}的函数\\ \end{align}\) 3)指数(或对数)变换 \(\begin{align} &a^x=u或x=\frac{\ln u}{\ln a}常用于含a^x的函数\\ \end{align}\) 4)用于有理化的变换 \(\begin{align} &\frac{1}{\sqrt{x}+\sqrt[3]{x}}用x=u^6\\ &\sqrt[n]{\frac{ax+b}{cx+d}}用u=\sqrt[n]{\frac{ax+b}{cx+d}}或x=-\frac{du^n-b}{cu^n-a}\\ \end{align}\)
(3)分部积分法
\[\begin{align} &\int{u(x)v'(x)dx}=\int{u(x)d(v(x))}=u(x)v(x)-\int{v(x)u'(x)dx}\\ &注解:找到合适的u(x),v(x)\\ \end{align}\]1)降幂法 \(\begin{align} &\int{x^ne^{ax}dx},\int{x^n\sin axdx},\int{x^n\cos ax dx}\\ &取u(x)=x^n\\ \end{align}\) 2)升幂法 \(\begin{align} &\int{x^a\ln xdx},\int{x^a\arcsin xdx},\int{x^a\arccos x dx},\int{x^a\arctan x dx}\\ &取u(x)=\ln x\\ \end{align}\) 3)循环法 \(\begin{align} &\int{e^{ax}\sin ax dx},\int{e^{ax}\cos {ax} dx}\\ &取u(x)=e^{ax}或\sin{ax} \end{align}\) 4)递推公式法 \(\begin{align} &与n有关的结果I_n,建立递推关系I_n=f(I_{n-1})或f(I_{n-2})\\ \end{align}\)
定积分
一、定积分概念
1.定义
\[\begin{align} &定义:设函数f(x)在区间[a,b]上有定义且有界\\ &(1)分割:将[a,b]分成n个[x_{i-1},x_{i}]小区间\\ &(2)求和:[x_{i-1},x_{i}]上取一点\xi_{i},\sum_{i=1}^{n}{f(\xi_{i})\Delta x_i},\lambda=\max{\Delta x_{1},\Delta x_{2},...,\Delta x_{n}}\\ &(3)取极限:若\lim_{\lambda \rightarrow 0}{\sum_{i=1}^{n}f(\xi_{i})\Delta x}\exists,且极值不依赖区间[a,b]分发以及点\xi_{i}的取法,则称f(x)在区间[a,b]上可积,\\ &\int^{b}_{a}{f(x)dx}=\lim_{\lambda \rightarrow 0}{f(\xi)\Delta x_{i}} &\\ &注解:\\ &(1)\lambda \rightarrow0 \rightarrow \nleftarrow n\rightarrow \infty\\ &(2)定积分表示一个值,与积分区间[a,b]有关,与积分变化量x无关\\ &\int_{a}^{b}{f(x)dx}=\int_{a}^{b}{f(t)dt}\\ &(3)如果积分\int_{0}^{1}{f(x)dx}\exists,将[0,1]n等分,此时\Delta{x_{i}}=\frac{1}{n},取\xi_{i}=\frac{i}{n},\\ &\int_{0}^{1}f(x)dx=\lim_{\lambda \rightarrow 0}{\sum_{i=1}{n}{f(\xi_{i})\Delta x_{i}}}=\lim_{n\rightarrow \infty}\sum_{i=1}^{n}f(\frac{i}{n})\\ \end{align}\] \[\begin{align} &\int^{b}_{a}{f(x)dx}=\lim_{\lambda \rightarrow 0}\sum^{n}_{i=1}f(\xi_i)\Delta_i=\begin{cases}&\lim_{n\rightarrow \infty}{\sum_{i=1}^{n}{f(a+(i-1)\frac{b-a}{n})\frac{b-a}{n}}},左侧\\&\lim_{n\rightarrow \infty}{\sum_{i=1}^{n}{f(a+i\frac{b-a}{n})\frac{b-a}{n}}},右侧\\\end{cases}\\ &中点:\Phi_i=a+(i-1)\frac{b-a}{n}+\frac{b-a}{2n}\\ \end{align}\]
定理:(线性) \(\begin{align} &\int[\alpha f(x)+\beta g(x)]dx=\alpha\int f(x)dx+\beta\int g(x)dx\\ \end{align}\) 注解:积分无小事 \(\begin{align} &\int{e^{\pm x^2}dx,\int{\frac{\sin x}{x}}}积不出来\\ &F'(x)=f(x),x\in I,连续函数一定存在原函数,无穷多个\\ &[F(x)+C]'=f(x) \end{align}\)
2.定积分存在的充分条件
\[\begin{align} &若f(x)在[a,b]上连续,则\int^{b}_{a}{f(x)dx}必定存在\\ &若f(x)在[a,b]上有上界,且只有有限个间断点,则\int^{b}_{a}{f(x)dx}必定存在\\ &若f(x)在[a,b]上只有有限个第一类间断点,则\int^{b}_{a}{f(x)dx}必定存在\\ \end{align}\]3.定积分的几何意义
\(\begin{align}
&(1)f(x)\geqslant{0},\int_{a}^{b}{f(x)dx}=S\\
\end{align}\)
\(\begin{align}
&(2)f(x)\leqslant{0},\int_{a}^{b}{f(x)dx}=-S\\
\end{align}\)
$$
\begin{align}
&(3)f(x)\geqslant{0}\cup f(x)\leqslant{0},\int_{a}^{b}{f(x)dx}=S_1+S_3-S_2\
\end{align} $$
注解: \(\begin{align} &(1)当f(x)\geq0时,定积分的几何意义是,以区间[a,b]为底,y=f(x)为曲边的曲边梯形面积\\ &(2)定积分是一个常数,只与f和区间[a,b]有关,与积分变量用什么字母无关\\ &\int_a^b{f(x)}dx=\int_a^b{f(t)dt}\\ &(3)\int_a^bdx=b-a\\ &(4)\int_{a}^{a}f(x)=0,\int_a^bf(x)dx=-\int_b^a{f(t)}dt \end{align}\)
二、定积分的性质
1.不等式性质
\[\begin{align} &(1)保序性:若在区间[a,b]上f(x)\leqslant{g(x)},则\int_a^{b}{f(x)dx}\leqslant{\int_a^{b}{g(x)dx}}\\ &推论:\\ &(1)f(x)\geq0,\forall x\in[a,b],则\int_a^b{f(x)dx}\geq0\\ &(2)f(x)\geq0,\forall x\in[a,b],且[c,d]\subset[a,b],则\int_a^b{f(x)dx}\geq\int_c^d{f(x)dx}\\ &(3)|\int_a^bf(x)dx|\leq\int_a^b{|f(x)|dx}\\ &-|f|\leq f\leq |f|\Rightarrow \int_a^b-|f|\leq \int_a^bf\leq \int_a^b|f|\Rightarrow |\int_a^bf|\leq\int_a^b|f|\\ &如:x^2\leq x^3,x\in[0,1],则\int_0^1{x^3dx}\leq\int_0^1{x^2dx}\\ \end{align}\] \[\begin{align} &(4)(估值不等式)若M及m分别是f(x)在[a,b]上的最大值和最小值,\\ &则m(b-a)\leqslant{\int_a^{b}{f(x)dx}\leqslant{M(b-a)}}\\ \end{align}\]
\(\begin{align}
&证明:M(b-a)=S_{AFDC}=S_1+S_2+S_3\\
&m(b-a)=S_{EBDC}=S_3\\
&\int_a^{b}{f(x)dx}=S_{ADBC}=S_2+S_3\\
&S_3\leqslant{S_2+S_3\leqslant{S_1+S_2+S_3}}\\
&\Leftrightarrow{m(b-a)\leqslant{\int_a^{b}{f(x)dx}\leqslant{M(b-a)}}}\\
\end{align}\)
2.中值定理
\[\begin{align} &(1)若f(x)在[a,b]上连续,则\int_a^{b}{f(x)dx}=f(\xi)(b-a),(a<\xi<b)\\ &称\frac{1}{b-a}{\int_{a}^{b}{f(x)dx}为函数y=f(x)在区间[a,b]上的平均值}\\ &注解:F'(x)=f(x),F(b)-F(a)=\int_a^b{f(x)dx},f(\xi)(b-a)=F'(\xi)(b-a)\\ &(2)若f(x),g(x)在[a,b]上连续,g(x)不变号,则\int_{a}^{b}{f(x)g(x)dx}=f(\xi)\int_a^b{g(x)dx}\\ \end{align}\]注解: \(\begin{align} &\int_0^1{\frac{x}{\sin x}}dx\\ &f(x)=\begin{cases}&\frac{x}{\sin x},x\in[0,1]\\&1,x=0\\\end{cases}\\ &结论:有限处点的函数不影响定积分\\ &f(x)={\begin{cases}&x+1,[1,2]\\&x,[0,1]\\\end{cases}}\\ &\int_0^2{f(x)dx}=\int_0^1{xdx}+\int_1^2{(x+1)dx}\\ \end{align}\)
\[\begin{align} &证明:\frac{1}{2}\leq\int_0^{\frac{1}{2}}\frac{1}{\sqrt{1-x^n}}dx\leq\frac{\pi}{6}\\ &估值积分:x\in[0,\frac{1}{2}]\\ &\\ \end{align}\]例题: \(\begin{align} &1.求极限\lim_{n\rightarrow \infty}\int_0^1{\frac{x^ne^x}{1+e^x}dx}\\ &根据积分容易知道0\leq\frac{x^ne^x}{1+e^x}\leq x^n,x\in[0,1],n\in N^*\\ &用积分的保号性\\ &0\leq\int_0^1{\frac{x^ne^x}{1+e^x}dx}\leq \int_0^1{x^n}dx=\frac{1}{n+1}\\ &用夹逼定理\\ &\lim_{n\rightarrow\infty}\frac{1}{n+1}=0\\ &\lim_{n\rightarrow \infty}\int_0^1{\frac{x^ne^x}{1+e^x}dx}=0\\ \end{align}\)
\[\begin{align} &2.设I_1=\int_0^{\frac{4}{\pi}}\frac{\tan x}{x}dx,I_2=\int_0^{\frac{4}{\pi}}\frac{x}{\tan x}dx则\\ &(A)I_1I_21(B)1I_1I_2(C)I_2I_11(D)1I_2I_1\\ &解:用保序性a<b,f(x)\leq g(x),\int_a^b f(x)\leq \int_a^b g(x)\\ &\tan xx,x\in[0,\frac{\pi}{2}]\\ &\frac{\tan x}{x}1\frac{x}{\tan x},x\in[0,\frac{\pi}{4}]\\ &根据保序性\\ &\int_0^{\frac{\pi}{4}}\frac{\tan x}{x}dx\int_0^{\frac{\pi}{4}}1dx=\frac{\pi}{4}\int_0^{\frac{\pi}{4}}\frac{x}{\tan x},x\in[0,\frac{\pi}{4}]\\ &证:\int_0^{\frac{\pi}{4}}\frac{\tan x}{x}与1的关系\\ &积分中值定理\\ &\int_0^{\frac{\pi}{4}}\frac{\tan x}{x}=f(\xi)(\frac{\pi}{4}-0)=\frac{\tan \xi}{\xi}*\frac{\pi}{4},\xi\in{[0,\frac{\pi}{4}]}\\ &根据\frac{\tan x}{x}在x\in[0,\frac{\pi}{4}]上单调递增\\ &0<f(\xi)<\frac{4}{\pi},0<\int_0^{\frac{\pi}{4}}\frac{\tan x}{x}<1\\ &选(B)\\ \end{align}\]三、积分上限函数
\(\begin{align}
&如果f(x)在区间[a,b]上连续,则\Phi(x)=\int_a^b{f(t)dt}在[a,b]上可导,且\int_a^b{f(t)dt})\\
&(\int_a^xf(t)dt)'=f(x),(\int_a^{x^2}f(t)dt)'=f(x^2)*2x\\
&如果f(x)在区间[a,b]上连续,\phi_1(x),\phi_2(x)为可导函数,则\Phi(x)=\int_a^b{f(t)dt}在[a,b]上可导,且(\int_{\phi_1(x)}^{\phi_2(x)}{f(t)dt})'\\
&=f[\phi_2(x)]*\phi_2'(x)-f[\phi_1(x)]*\phi_1'(x)=(\int_{\phi_1(x)}^0{f(t)dt}+\int_{\phi_2(x)}^0{f(t)dt})'\\
&设函数f(x)在[-l,l]上连续,则\\
&如果f(x)为奇函数,那么\int_0^xf(t)dt必为偶函数\\
&如果f(x)为偶函数,那么\int_0^xf(t)dt必为奇函数\\
\end{align}\)
\(\begin{align} &任取x\in[a,b),取\Delta x0,使x+\Delta x\in[a,b)\\ &\frac{\Delta F}{\Delta x}=\frac{F(x+\Delta x)-F(x)}{\Delta x}=\frac{1}{\Delta x}[\int_a^{x+\Delta x}f(t)dt-\int_a^xf(t)dt]=\frac{1}{\Delta x}\int_x^{x+\Delta x}f(t)dt=f(x+\sigma\Delta x)\rightarrow f(x)(\Delta x\rightarrow 0^+)\\ \end{align}\) 推论: \(\begin{align} &若f(x)、\phi'(x)、\psi(x)于[a,b]上连续,则\\ &(1)(\int_a^{\phi(x)}f(t)dt)'=f(\phi(x))\phi'(x)\\ &(2)(\int_b^{\psi(x)}f(t)dt)'=-f(\psi(x))\psi'(x)\\ &(3)(\int_{\psi(x)}^{\phi(x)}f(t)dt)'=f(\phi(x))\phi'(x)-f(\psi(x))\psi'(x)\\ \end{align}\) 例题 \(\begin{align} &1.设函数f(x)在R上连续,且是奇函数,则其原函数均是偶函数.当f(x)是偶函数时?是周期函数?\\ &证:\\ &令F_0(x)\int_0^xf(t)dt,x\in R\\ &F_0(-x)=\int_0^{-x}f(t)dt\overset{t=-u}{=}\int_0^xf(-u)d(u)=\int_0^xf(u)du=F_0(x)\Rightarrow F_0(x)为偶函数\\ \end{align}\)
\[\begin{align} &求变现积分导数\\ &(1)F(x)=\int_x^{e^{-x}}f(t)dt\\ &(2)F(x)=\int_0^{x^2}(x^2-t)f(t)dt\\ &(3)F(x)=\int_0^{x}f(x^2-t)dt\\ &(4)设函数y=y(x)由参数方程\begin{cases}&x=1+2t^2\\&y=\int_1^{1+2\ln t}\frac{e^u}{u}du\\\end{cases}(t1),求\frac{d^2y}{dx^2}|_{x=9}\\ &解:\\ &(1)F(x)'=(\int_x^{e^{-x}}f(t)dt)'=f(e^{-x})(-e^{-x})-f(x)\\ &(2)F(x)'=(\int_0^{x^2}(x^2-t)f(t)dt)'=(\int_0^{x^2}x^2f(t)dt-\int_0^{x^2}tf(t)dt)'\\ &=2x\int_0^{x^2}f(t)dt+x^2f(x^2)2x-x^2f(x^2)2x=2x\int_0^{x^2}f(t)dt\\ &(3)F(x)=\int_0^{x}f(x^2-t)dt=-\frac{1}{2}\int_0^xf(x^2-t^2)d(x^2-t^2)\overset{u=x^2-t^2}{=}-\frac{1}{2}\int_0^xf(u)du\\ &F(x)'=\frac{1}{2}f(x^2)2x=xf(x^2)\\ &(4)\frac{dy}{dx}=\frac{\frac{e^{1+2\ln t}}{1+2\ln t}\frac{2}{t}}{4t^2}=\frac{e}{2(1+2\ln t)}\\ &\frac{d^2y}{dx^2}=\frac{d(\frac{dy}{dx})}{dx}=\frac{e}{2}(-\frac{\frac{2}{t}}{(1+2\ln t)^2})\frac{1}{4t}\\ \end{align}\]\(\begin{align} &2.求变现积分的积分:\\ &(1)设f(x)=\int_0^x{\frac{\sin t}{\pi -t}dt},求\int_0^\pi{f(x)}dx\\ &解:\\ &\int_0^\pi{f(x)}dx=\int_0^{\pi}\int_0^x\frac{\sin t}{\pi -t}dt\space dx\\ &=x\int_0^x\frac{\sin t}{\pi t}|_0^{\pi}-\int_0^{\pi}x\frac{\sin x}{\pi -x}dx\\ &=\pi\int_0^{\pi}\frac{\sin x}{\pi t}+\int_0^{\pi}\frac{[(\pi-x)-\pi]\sin x}{\pi-x}dx=\int_0^{\pi}\sin xdx=2\\ &(2)\lim_{x\rightarrow\infty}{\frac{(\int_0^x{e^{t^2}}dt)^2}{\int_0^xe^{2t^2}dt}}=\lim_{x\rightarrow\infty}{\frac{(2\int_0^{x}e^{t^2}dt)e^{x^2}}{e^{2x^2}}}=\lim_{x\rightarrow\infty}\frac{2\int_0^{x}e^{t^2}}{e^{x^2}}=\lim_{x\rightarrow\infty}\frac{1}{2x}=0\\ \end{align}\) { }
\[\begin{align} &(3)设f(x)连续,\phi(x)=\int_0^1{f(tx)dt},且\lim_{x\rightarrow0}\frac{f(x)}{x}=A(常数),求\phi'(x)并讨论\phi'(x)在x=0处的连续性\\ &当x\neq0时\\ &令u=tx,t\in[0,1],u=tx\in[0,x],\phi(x)=\int_0^1f(tx)dt\overset{tx=u}{=}\int_0^x{f(u)d(\frac{u}{x})}=\frac{\int_0^xf(u)du}{x}\\ &\phi'(x)=\frac{xf(x)-\int_0^xf(u)du}{x^2}\\ &当x=0时,f(0)=0,\phi(0)=f(0)=0,\phi'(0)=\lim_{x\rightarrow0}\frac{\phi(x)\phi(0)}{x-0}=\lim_{x\rightarrow0}\frac{\int_0^xf(u)du}{x^2}=\lim_{x\rightarrow 0}\frac{f(x)}{2x}=\frac{1}{2}A\\ &\lim_{x\rightarrow0}\phi'(x)=\lim_{x\rightarrow 0}{\frac{xf(x)-\int_0^xf(u)du}{x^2}}=A-\frac{1}{2}A=\frac{1}{2}A=\phi'(0)\Leftrightarrow\phi'(x)在x=0处连续\\ \end{align}\]注解: \(\begin{align} &注意变限积分进行正逆运算时上下限的映射\\ &例如F(x)=\int_0^x{f(t)dt}\overset{t=-u}{=}\int_{-a}^{x}f(-u)d(-u)\\ \end{align}\)
四、定积分的计算
1.牛顿莱布尼茨公式
\[\int_a^bf(x)dx=F(x)|_a^b=F(b)-F(a)\]2.换元积分法
\[\int_a^bf(x)dx=\int_\alpha^\beta{f(\Phi(t))\Phi'(t)dt}\]3.分部积分法
\[\int_a^budv=uv|_a^b-\int_a^bvdu\]4.奇偶性和周期性
\[\begin{align} &直接使用奇偶性周期性定义证明\\ &(1)设f(x)为[-a,a]上的连续函数(a0),则\\ &\int_{-a}{a}f(x)dx=\begin{cases}0,&f(x)奇函数\\2\int_0^af(x)dx,&f(x)偶函数\end{cases}\\ &证:\int_{-a}^0{f(x)dx}\overset{x=-t}{=}\int_0^a{f(-t)d(-t)}=-\int_{0}^{a}f(t)d(t)=-\int_0^a{f(x)dx}\\ \end{align}\] \[\begin{align} &(2)设f(x)是以T为周期的连续函数,则对\forall A,有\int_a^{a+T}f(x)=\int_0^T{f(x)dx}\\ &\int_a^{a+T}f(x)dx\overset{x=a+t}{=}\int_0^T{f(a+t)d(a+t)}=\int_0^{a+t}f(a+t)dt\\ \end{align}\] \[\begin{align} &\Phi:x\in[a,b]\rightarrow y\in[c,d],令\frac{x-a}{b-a}=\frac{y-c}{d-c},y=c+\frac{d-c}{b-a}(x-a)\\ \end{align}\\\]
5.奇偶函数积分后的奇偶性(奇偶函数求导后的奇偶性)
1.奇偶函数求导后的奇偶性
\[\begin{align} &(1)f(x)为奇函数:\\ &f(-x)=-f(x)\\ &\Leftrightarrow f'(-x)(-1)=-f'(x)\\ &\Leftrightarrow f'(-x)=f'(x)\\ &\Leftrightarrow f'(x)为偶函数\\ &(2)f(x)为偶函数:\\ &f(-x)=f(x)\\ &\Leftrightarrow f'(-x)=f'(x)\\ &\Leftrightarrow f'(-x)(-1)=f'(x)\\ &\Leftrightarrow f'(-x)=-f'(x)\\ &\Leftrightarrow f'(x)为奇函数\\ \end{align}\]2.奇偶函数求积分后的奇偶性
\[\begin{align} &设F(x)为f(x)的原函数\\ &(1)f(x)为奇函数:\\ &f(-x)=-f(x)\\ &\Leftrightarrow \int f(-x)dx=-\int f(x)dx\\ &\Leftrightarrow -\int f(-x)d(-x)=-\int f(x)dx\\ &\Leftrightarrow F(-x)=F(x)\\ &\Leftrightarrow F(x)为偶函数\\ &(2)f(x)为偶函数:\\ &f(-x)=f(x)\\ &\Leftrightarrow \int f(-x)dx=\int f(x)dx\\ &\Leftrightarrow -\int f(-x)d(-x)=\int f(x)dx\\ &\Leftrightarrow F(-x)=-F(x)\\ &\Leftrightarrow F(x)为奇函数\\ \end{align}\]3.奇偶函数复合后的奇偶性
\[\begin{align} &\exists f(x),g(x),F(x)=f(g(x))\\ &设f(x)为奇函数\\ &(1)g(x)为偶函数\\ &F(-x)=f(g(-x))=f(g(x))=F(x),F(x)为偶函数\\ &(2)g(x)为奇函数\\ &F(-x)=f(g(-x))=f(-g(x))=-f(g(x))=-F(x),F(x)为奇函数\\ &设f(x)为偶函数\\ &(1)g(x)为奇函数\\ &F(-x)=f(g(-x))=f(g(x))=F(x),F(x)为偶函数\\ &(2)g(x)为偶函数\\ &F(-x)=f(g(-x))=f(g(x))=F(x),F(x)为偶函数\\ &注解:外偶全偶,外奇奇偶\\ \end{align}\]例题: \(\begin{align} &1.设M=\int_{-\frac{\pi}{2}}^{\frac{\pi}{2}}{\frac{\sin x}{1+x^2}\cos^4xdx},N=\int_{-\frac{\pi}{2}}^{\frac{\pi}{2}}{(\sin x^3+\cos^4x)dx},P=\int_{-\frac{\pi}{2}}^{\frac{\pi}{2}}(x^2\sin^3x-\cos^4x)dx,则\\ &(A)N<P<M(B)M<P<N(C)N<M<P(D)P<M<N\\ &根据对称性判断\\ &M:f_M(x)为奇函数,F_M(x)为偶函数\\ &N:N=\int_{-\frac{\pi}{2}}^{\frac{\pi}{2}}{(\sin x^3+\cos^4x)dx}=\int_{-\frac{\pi}{2}}^{\frac{\pi}{2}}\sin ^3xdx+\int_{-\frac{\pi}{2}}^{\frac{\pi}{2}}\cos ^4xdx\\ &\int_{-\frac{\pi}{2}}^{\frac{\pi}{2}}\sin ^3xdx=0,\int_{-\frac{\pi}{2}}^{\frac{\pi}{2}}\cos ^4xdx\geq 0,\Rightarrow N\geq 0\\ &P:P=\int_{-\frac{\pi}{2}}^{\frac{\pi}{2}}(x^2\sin^3x-\cos^4x)dx=\int_{-\frac{\pi}{2}}^{\frac{\pi}{2}}x^2\sin^3xdx-\int_{-\frac{\pi}{2}}^{\frac{\pi}{2}}\cos^4xdx\\ &\int_{-\frac{\pi}{2}}^{\frac{\pi}{2}}x^2\sin^3xdx=0,\int_{-\frac{\pi}{2}}^{\frac{\pi}{2}}\cos^4xdx\geq0,\Rightarrow P\leq0\\ &\Leftrightarrow P<M<N,\space\space选(D)\\ \end{align}\)
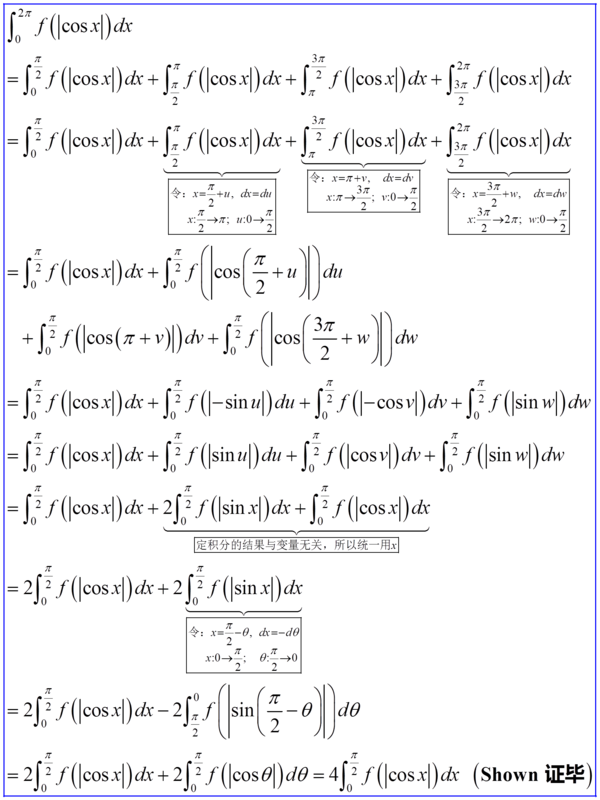
\[\begin{align} &2.设f(x)=\begin{cases}&kx,0\leq x\leq \frac{1}{2}a\\&c,\frac{1}{2}a<x\leq a\\\end{cases},求F(x)=\int_0^xf(t)dt,x\in[0,a]\\ &F(x)=\begin{cases}&\int_0^xktdt=\frac{1}{2}kt^2|_0^x=\frac{1}{2}kx^2,0\leq x\leq \frac{1}{2}a\\&\int_0^{\frac{1}{2}a}ktdt+\int_{\frac{1}{2}a}^c cdt=\frac{1}{8}ka^2+c^2-\frac{1}{2}ac,\frac{1}{2}a<x\leq a\\\end{cases}\\ \end{align}\] \[\begin{align} &3.证明:\int_0^{2\pi}f(|\cos x|)dx=4\int_0^{\frac{\pi}{2}}f(|\cos x|)dx\\ \end{align}\]
6.已有公式
\[\begin{align} &(1)\int_0^{\frac{\pi}{2}}{\sin^nxdx=\int_0^{\frac{\pi}{2}}\cos^n xdx=\begin{cases}\frac{n-1}{n}*\frac{n-3}{n-2}*...*\frac{1}{2}*\frac{\pi}{2},&n为偶数\\\frac{n-1}{n}*\frac{n-3}{n-2}*...*\frac{2}{3},&n为大于1的奇数\\\end{cases}}\\ &(2)\int_0^{\pi}xf(\sin x)dx=\frac{\pi}{2}\int_0^{\pi}f(\sin x)dx(f(x)为连续函数)\\ \end{align}\]7.与定积分有关的证明
8.经典例题:
例题1:
\[\begin{align} &\lim_{n\rightarrow \infty}{(\frac{1}{n+1}+\frac{1}{n+2}+...+\frac{1}{n+n})}\\ &法1:夹逼定理+基本不等式\\ &\frac{1}{1+x}<\ln(x+1)<x\\ &令x=\frac{1}{n}\\ &得\frac{1}{n+1}=\frac{\frac{1}{n}}{\frac{1}{n}+1}<\ln(\frac{1}{n}+1)=\ln(n+1)-\ln(n)<\frac{1}{n}\\ &得\frac{1}{n+2}<ln(n+2)-ln(n+1)<\frac{1}{n+1}\\ &得\frac{1}{n+n}<\ln(n+n)-\ln(n+n-1)<\frac{1}{n+n-1}\\ &得\frac{1}{n+1}+\frac{1}{n+2}+...+\frac{1}{n+n}<ln(2n)-ln(n)=ln2\\ &法2:\lim_{n\rightarrow \infty}{(\frac{1}{n+1}+\frac{1}{n+2}+...+\frac{1}{n+n})}中\\ &\frac{1}{n+1}中n为主体,1为变体\\ &\frac{变体}{主体}\rightarrow^{n \rightarrow{\infty}}\begin{cases}0,次(夹逼定理)\\A\neq 0,同(定积分)\end{cases}\\ &\lim_{\lambda \rightarrow 0}{\sum_{i=1}^{n}{f(\xi_i)\Delta x_i}=\lim_{n\rightarrow \infty}\frac{1}{n}\sum_{i=1}^{n}f(\xi_i)(b-a)}=\int_0^1\frac{1}{1+x}=\ln(1+x)|_{0}^{1}=\ln2\\ \end{align}\]例题2
\[\begin{align} &设f(x)=\int_0^{\pi}{\frac{\sin x}{\pi-t}dt},计算\int_0^{\pi}f(x)dx.\\ &法1:分部积分+换元法\\ &原式=xf(x)|_0^{\pi}-\int_0^{\pi}{\frac{x\sin x}{\pi-x}dx}\\ &=\pi{\int_0^{\pi}{\frac{\sin{t}}{\pi-t}dt}-\int_0^{\pi}{\frac{x\sin x}{\pi-x}}dx}\\ &=\int_0^{\pi}{\frac{(\pi-x)\sin x}{\pi-x}dx}=2\\ &法2:\\ &原式=\int_0^\pi{f(x)d(x-{\pi})}=(x-\pi)f(x)|_0^{\pi}-\int_0^{\pi}{\frac{(x-\pi)\sin x}{\pi-x}dx}=2\\ &法3:二重积分转化为累次积分\\ &原式=\int_0^{\pi}{\int_0^{\pi}\frac{x\sin t}{\pi-t}dt}dx\\ \end{align}\]例题3

\(\begin{align}
&法1:构造辅助函数\\
&根据题意f(1)=f(-1)=1,f(0)=-1\Rightarrow f(x)为偶函数,f最低点函数值为-1\\
&可以构造符合题意的辅助函数f(x)=2x^2-1\\
&法2:根据函数的性质直接判断
\end{align}\)

例题4
AZZK.jpg)
反常积分
一、无穷区间上的反常积分
\[\begin{align} &(1)\int_a^{+\infty}{f(x)}dx=\lim_{t\rightarrow +\infty}{\int_{a}^{t}f(x)dx}\\ &(2)\int_{-\infty}^{b}{f(x)}dx=\lim_{t\rightarrow -\infty}{\int_{t}^{b}f(x)dx}\\ &(3)\int_{-\infty}^{0}{f(x)}dx和{\int_{0}^{+\infty}f(x)dx}都收敛,则{\int_{-\infty}^{+\infty}f(x)dx}收敛\\ &且{\int_{-\infty}^{+\infty}f(x)dx}=\int_{-\infty}^{0}{f(x)}dx+{\int_{0}^{+\infty}f(x)dx}\\ &如果其中一个发散,结果也发散\\ &常用结论:\int_a^{+\infty}{\frac{1}{x^p}dx}\begin{cases}&p1,收敛\\&p\leq1 ,发散\\\end{cases},(a0)\\ \end{align}\]二、无界函数的反常积分
\[\begin{align} &如果函数f(x)在点a的任一领域内都无界,那么点a为函数f(x)的瑕点(也称为无界点).无界函数的反常积分也成为瑕积分\\ &(1)设函数f(x)在(a,b]上连续,点a为f(x)的瑕点.如果极限\lim_{t\rightarrow a^+}{\int_{t}^{b}{f(x)dx}}\exists,\\ &则称此极限为函数f(x)在区间[a,b]上的反常区间,记作\int_{a}^{b}f(x)dx,即\int_{a}^{b}f(x)dx=\lim_{t\rightarrow a^+}{\int_{t}^{b}{f(x)dx}}\\ &这时也称反常积分\int_a^b{f(x)dx}收敛,如果上述极限不存在,则反常积分\int_a^b{f(x)dx}发散\\ &(2)设函数f(x)在[a,b)上连续,点b为函数f(x)的瑕点,则可以类似定义函数f(x)在区间[a,b]上的反常积分\int_a^bf(x)dx=\lim_{t\rightarrow b^-}{\int_a^tf(x)dx}\\ &设函数f(x)在[a,b]上除点c(a<c<b)外连续,点c为函数f(x)的瑕点,如果反常积分\int_a^c{f(x)dx}和\int_c^b{f(x)dx}都收敛\\ &则称反常积分\int_a^b{f(x)dx}收敛,且\int_a^b{f(x)dx}=\int_a^c{f(x)dx}+\int_c^b{f(x)dx}\\ &如果至少一个发散,则称\int_a^b{f(x)dx}发散\\ &常用结论:\\ &\int_a^b{\frac{1}{(x-a)^p}}\begin{cases}&p<1,收敛\\&p\geq 1,发散\\\end{cases}\\ &\int_a^b{\frac{1}{(x-a)^p}}\begin{cases}&p<1,收敛\\&p\geq 1,发散\\\end{cases}\\ \end{align}\]三、例题
例题1
\(\begin{align}
&\int\frac{1}{\ln^{\alpha}x}d(\ln x)\rightarrow^{\ln x=u}\int{\frac{du}{u^{\alpha+1}}}\begin{cases}&{\alpha-1< 1}\\&{\alpha+11}\\\end{cases}\Rightarrow 0<\alpha<2\\
\end{align}\)
定积分的应用
微元法
\[\begin{align} &\\ \end{align}\]一、几何应用
1.平面图形的面积
\[\begin{align} &(1)若平面域D由曲线y=f(x),y=g(x)(f(x)\geq g(x)),x=a,x=b(a<b)所围成,则平面域D的面积为\\ &S=\int_a^b{[f(x)-g(x)]dx}\\ &(2)若平面域D由曲线由\rho=\rho(\theta),\theta=\alpha,\theta=\beta(\alpha<\beta)所围成,则其面积为S=\frac{1}{2}\int_{\alpha}^{\beta}{\rho^2(\theta)d\theta} \end{align}\]2.旋转体的体积
\[\begin{align} &若区域D由曲线y=f(x)(f(x)\geq 0)和直线x=a,x=b(0\leq a<b)及x轴所围成,则\\ &(1)区域D绕x轴旋转一周所得到的旋转体体积为V_x=\pi\int_a^b{f^2(x)dx}\\ &(2)区域D绕y轴旋转一周所得到的旋转体体积为V_y=2\pi\int_a^b{xf(x)dx}\\ &(3)区域D绕y=kx+b轴旋转一周所得到的旋转体体积为V=2\pi\int_D\int{r(x,y)d\sigma}\\ &例如:求y=x,y=x^2在第一象限的封闭图形绕转轴的体积\\ \end{align}\]
\(\begin{align}
&V_x=2\pi\int_D\int yd\sigma=2\pi\int_0^1{dx}\int_{x^2}^{x}ydy\\
&V_y=2\pi\int_D\int xd\sigma=2\pi\int_0^1{dx}\int_{x^2}^{x}xdy\\
&V_{x=1}=2\pi\int_D\int (1-x)d\sigma\\
&V_{y=2}=2\pi\int_D\int (2-y)d\sigma\\
\end{align}\)
3.曲线弧长
\[\begin{align} &(1)C:y=y(x),a\leq x\leq b,s=\int_a^b{\sqrt{1+y'^2}dx}\\ &(2)C:\begin{cases}&x=x(t)\\&y=y(t)\\\end{cases},\alpha \leq t\leq \beta,s=\int_{\alpha}^{\beta}{\sqrt{x'^2+y'^2}dx}\\ &(3)C:\rho=\rho(\theta),\alpha \leq \theta\leq \beta,s=\int_{\alpha}^{\beta}{\sqrt{\rho^2+\rho'^2}dx}\\ \end{align}\]4.旋转体侧面积
\[\begin{align} &曲线y=f(x)(f(x)\geq 0)和直线x=a,x=b(0\leq a<b)及x轴所围成的区域绕x轴旋转所得到的旋转体的侧面积为\\ &S=2\pi\int_a^b{f(x)\sqrt{1+f'^2(x)}dx}\\ \end{align}\]二、物理应用
1.压力
2.变力做功
3.引力(较少考)
例题1
\[\begin{align}
&分析题意可知,该容器由x^2+y^2=1的圆和x^2+(y-1)^2=1的偏心圆组成\\
&根据图像的对称性可以避免不同表达式带来的困难\\
&对圆的小带子进行积分,带子长度为x,积分区间为-1到\frac{1}{2},\int_{-1}^{\frac{1}{2}}{\pi x^2dy}\\
&由于图像的对称性,将积分结果乘二\\
&(1)V=2\pi\int_{-1}^{\frac{1}{2}}{x^2}dy=2\pi\int_{-1}^{\frac{1}{2}}{(1-y^2)dy}=\frac{9\pi}{4}\\
\end{align}\]
\(\begin{align}
&(2)W=F*S=G*S=mg*S=\rho VSg\\
&上部为W_1=\int_{\frac{1}{2}}^{2}(2y-y^2)(2-y)dy*\rho g\\
&下部为W_2=\int^{\frac{1}{2}}_{-1}(1-y^2)(2-y)dy*\rho g\\
&W=W_1+W_2\\
\end{align}\)

例题2
\(\begin{align}
&F_p=P*A=\rho gh*A\\
&将图像分为上部和下部,上部为矩形区域和下部的抛物线围成的面积区域,对其进行依次求解\\
&P_1=2\rho gh\int_1^{h+1}{h+1-y}dy=\rho gh^2\\
&P_2=2\rho gh\int_0^1{(h+1-y)\sqrt{y}dy=4\rho g(\frac{1}{3}h+\frac{2}{15})}\\
&\frac{P_1}{P_2}=\frac{4}{5}\Rightarrow h=2,h=-\frac{1}{3}(舍去)
\end{align}\)
.jpg)